NCERT Example 8.2
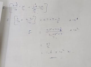
Concepts: The copper and steel wire are conneceted in series connection. So the force (load) experienced by each of the wire is same. (Assuming the wire in the bottom is not very heavy and does not put extra load on the top wire.)
Extension will be different in copper and steel wire. But $\Delta L_{total}=\Delta L_{Cu} + \Delta L_{steel}$
A copper wire of length 2.2 m and a steel wire of length 1.6 m, both of diameter 3.0 mm, are connected end to end. When stretched by a load, the net elongation is found to be 0.70 mm. Obtain the load applied.


No comments:
Post a Comment
Please provide your valuable feedback. Students, Parents, Teachers.